Temperature fluctuations and starburst evolution

Enrique Pérez1,2

1 Space Telescope Science Institute, 3700 San Martin Drive, Baltimore MD 21218, USA
 2 Instituto de Astrofísica de Andalucía (CSIC), Aptdo. 3004, 18080 Granada, Spain

1997, MNRAS, 290, 465.

ABSTRACT.

The understanding of temperature fluctuations in ionized nebulae is a key problem in the computation of chemical abundances, which bears on a variety of fundamental issues in Astronomy. Although the problem was stated three decades ago, its impact on the values of the abundances remains challenged, mainly because it is an ill defined one from the observational point of view. In this work we investigate the change of the ionization structure during the first 8 Myr of the evolution of a starburst. We show that large temperature fluctuations arise naturally when the spectral energy distribution of the ionizing cluster hardens during the Wolf-Rayet phase.

Key words: ISM: abundances - HII regions - planetary nebulae - galaxies: abundances - galaxies: starburst.
 

1 INTRODUCTION

An accurate determination of the gas phase abundance of the elements is of fundamental importance for our understanding of the evolution of stellar systems, galaxies and the universe as a whole through constraints on the primordial helium abundance. Gas abundances are most commonly obtained from the optical spectra of planetary nebula (PN), galactic HII regions, giant extragalactic HII regions (GHIIR) and starburst galaxies. In theory, the use of intensity ratios of recombination emission lines is preferred over ratios of collisionally excited transitions for the computation of the abundances because, unlike the later which have an exponential dependence on the electronic temperature Te, recombination lines have a very shallow Te dependence. In practice, however, except in PN, the brightest metal lines in the most commonly observed optical spectra of the nebula around extragalactic star forming regions are collisionally excited ones. Thus a very accurate determination of Te becomes the key issue, because small errors in Te propagate exponentially into the abundance.

Peimbert (1967) characterizes the temperature structure of a gaseous nebula to a second order approximation by two paramenters: the average temperature, T0, and the root mean square temperature fluctuation, t, given by the following expressions for an ion of abundance Ni
 

 
and

where Ne(r) and Ni(r) are the electron and ion density distributions and V is the volume. Two different methods to determine Te are necessary in order to resolve the two unknowns, T0 and t2, from these two equations.

Temperature fluctuations have been determined from observations of PN (Peimbert 1971; Dinerstein, Lester & Werner 1985; Liu & Danziger 1993; Liu et al. 1994; Peimbert et al. 1995ab), galactic HII regions (Rubin 1969; Liu et al. 1995; Esteban et al. 1996), and GHIIRs (González Delgado et al. 1994; Terlevich et al. 1996). The values found for t2 range up to 0.09. An excellent and comprehensive review has recently been published by Peimbert (1995).

Kingdon & Ferland (1995, hereafter KF95) have produced the most comprehensive and systematic study that explores the hypothesis underlying the original formulation by Peimbert, and the dependencies of t2 with different stellar and nebular parameters, such as effective temperature, and gas density and chemical composition. They distinguish between two different types of t2. One is the structural t2) given by the defining equation above; there is one structural t2 for each ion. The other is the observational t2); this results from the necessary assumption made to compute t2 from observational data, namely that the mean temperature and fluctuations sampled by the two different ions used to resolve the equations above are the same. KF95 explore the validity range of these assumptions, and the pitifalls involved in the computation of .

In PN and in the brightest galactic HII regions, it is possible to measure the carbon and oxygen abundance both from recombination and from collisionally excited lines. The two methods give values that can differ by a factor of 2 to 6 (see references in Peimbert 1995). This is interpreted as due to the use of an incorrect value of Te. In GHIIRs and starbursts most commonly one or at best two temperature indicators are used, and often a single value of Te is obtained from empirical relationships (e.g. Pagel et al. 1992, and references therein). The abundances computed for these objects implicitly assume very simple ionization and thermal structures of the ionized nebula. Here we will see that this is not necessarily the case in starburst regions.

The evolution of a starburst during its nebular phase, up to ~10 Myr, implies drastic changes in the combined spectral energy distribution (SED) of the ionizing cluster (e.g. Leitherer & Heckman 1995, hereafter LH95; García-Vargas 1996 and references therein). In particular, a hardening of the ionizing spectrum occurs at ~3 Myr with the appearance of the first Wolf-Rayet stars. These changes in the SED produce complex ionization and thermal structures, which evolve along with the ionizing cluster. We will see below how the thermal structure can be very different across the H+ and O+2 regions, thus giving rise to important temperature fluctuations. In section 2 we present the models and the results obtained relevant to this work, and in section 3 we discuss the origin of the temperature fluctuations arising from this process and their implications for the computation of nebular abundances.
 

2 MODELING AND RESULTS

We use the photoionization code CLOUDY (version C90.01, Ferland 1996) to compute the ionization structure and output emission line spectrum of a starburst during the first 8 Myr, with a time step sampling of 1 Myr. The input to the code has three parts:

(a) The spectral energy distribution responsible for the ionization is taken to be the output of the stellar evolutionary synthesis models by LH95. The SEDs can be found in electronic form in the CD-ROM from Leitherer et al. (1996). From the models computed by LH95, we use those of an instantaneous burst with a Salpeter initial mass function, and mass upper limit of 100 Msol. The lower limit mass cutoff is 1 Msol and the total mass of the burst 106 Msol. The models are based on the Geneva evolutionary tracks and NLTE atmospheres for the WR stars.

 (b) We compute photoionization models for two different metallicity ranges, solar and one tenth of solar. For the later, the gas chemical composition is simply scaled down by an order of magnitud from the solar value, except the helium abundance which is left unchanged. The SED from LH95 appropriate to each of the two metallicity ranges is used, so the gas and stars have approximately the same metallicity.

(c) The gas is distributed in a spherical geometry around the ionizing cluster, with an inner radius of 3.24 pc (a typical value for the core radius of super star clusters, O'Connell, Gallagher & Hunter 1994; Meurer et al. 1995; Watson et al. 1996), and an outer radius given by the ionization equilibrium; the code is stoped when a low equilibrium temperature is reached, so that the all models presented here are ionization bounded. For solar metallicity, we explore three different values of the filling factor, log ff= 0, -1, and -3. The models with a tenth of solar metallicity are computed only for log ff= -1. The gas particle density is uniform and the same for all the models at a value 100 cm-3.

Table 1 presents the values of the mean temperature weighted in different ways and the square temperature fluctuations, t2. Two sets of t2 values are given in the output: (a) the structural  for the O+2) and for the H+ () zones, and (b) the observational  obtained from two common temperature indicators (T[OIII] from the [OIII] 4363/5007 ratio and TBac from the Balmer jump Bac/Hb). Column 1 gives the metallicity, columns 2 and 3 the filling factor in log scale and the age, columns 4 and 5 the temperatures T[OIII] and TBac, columns 6 and 7 give the density weighted mean electron temperature in the O+2 and the H+ zones, columns 9 and 10 list the structural  and , and columns 8 and 11 give the average electron temperature T0 and square fluctuations  obtained with the same methodology used from the observations as originally proposed by Peimbert (1967). For reference, column 12 gives the flux of HeII 4686 relative to Hb for ages above 3 Myr when the fluctuations are larger; the published values for this line ratio for WR galaxies range between 0.01 and 0.05 (Masegosa, Moles & del Olmo 1991; Pagel et al. 1992; Izotov, Thuan & Lipovetsky 1996).
 

 Table 1. Grid of model output temperatures and square temperature fluctuations. The intensity of HeII 4686 relative to Hb is included as a reference.
 
metal  logff age T[OIII] TBac  TO+2  TH+   T0   t2(O+2)  t2(H+)  t2obs  HeII
 solar   0    1      6510  1570   6449   6449   6380   0.000  0.000  0.004  0.150
 solar   0    2      5150  4450   4988   4988   4810   0.003  0.003  0.009  0.000
 solar   0    3      7900  7280   7097   7562   7410   0.016  0.088  0.014  0.019
 solar   0    4      8130  7190   7028   7760   7350   0.022  0.128  0.023  0.029
 solar   0    5      8650  7720   7652   7970   7850   0.023  0.058  0.023  0.016
 solar   0    6      8590  7190   7080   8249   7470   0.033  0.191  0.032  0.040
 solar   0    7      9550  8290   8005   9942   8530   0.040  0.172  0.031  0.094
 solar   0    8      3910   997    3901   3901   3890   0.000  0.000  0.000  0.000
 
 solar   -1   1      5660  1870   5196   5196   5000   0.001  0.001  0.017  0.117
 solar   -1   2      5540  2880   2876   2876   3410   0.000  0.000  0.053  0.000
 solar   -1   3      7670  6560   6431   6838   6760   0.024  0.075  0.026  0.020
 solar   -1   4      8030  6590   6395   6994   6890   0.034  0.103  0.032  0.032
 solar   -1   5      8320  7070   6966   7304   7310   0.032  0.057  0.029  0.017
 solar   -1   6      8630  6310   6552   7367   6790   0.048  0.133  0.052  0.042
 solar   -1   7      9370  7790   7642   8895   8130   0.044  0.113  0.037  0.101
 solar   -1   8      3910  1000   3908   3908   3890   0.000  0.000  0.001  0.000
 
 solar   -3   3      7040  6210   6141   6765   6270   0.014  0.030  0.021  0.022
 solar   -3   4      7120  6400   6266   6895   6440   0.012  0.028  0.019  0.032
 solar   -3   5      7230  6790   6480   7262   6740   0.014  0.030  0.014  0.017
 solar   -3   6      7460  7580   7191   8343   7410   0.009  0.019  0.002  0.042
 solar   -3   7      8180  8310   7627   8243   8040   0.006  0.015  0.004  0.098
 solar   -3   8      2260  2550   2262   2262   2070   0.000  0.000  0.004  0.000
 
  0.1    -1   1     15600  16100  14950  14910  15200  0.002  0.002  0.021  0.000
  0.1    -1   2     15000  15400  14420  14390  14600  0.002  0.002  0.018  0.000
  0.1    -1   3     13700  14000  13170  13190  13300  0.002  0.002  0.014  0.000
  0.1    -1   4     12800  13100  12370  12510  12500  0.001  0.001  0.009  0.000
  0.1    -1   5     12200  12500  11890  12030  12000  0.000  0.001  0.007  0.000
  0.1    -1   6     12100  12400  11810  11840  11900  0.000  0.002  0.009  0.000
  0.1    -1   7     12100  12200  11740  11660  11700  0.000  0.002  0.011  0.000
  0.1    -1   8     12000  12100  11730  11590  11700  0.000  0.002  0.012  0.000
 

At solar abundance, the line temperature diagnostics T[OIII] > TBac, but the opposite is true for the structural temperatures T(O+2) <= T(H+). This is easily understood. In the first case the value of the temperature is weighted upwards because [OIII]4363 is produced in hotter regions, while the Coulomb interaction during the recombination process which produces the Balmer emission is more efficient for low kinetic energy electrons. In the second case, while T(O+2) only samples part of the ionized nebula, T(H+) samples all of it, in particular the inner very hot zone where the oxygen is ionized into O+3 and higher, or, in low ionization cases, the outer O+ zone that is often (though not always) hotter than the O+2 zone.
 
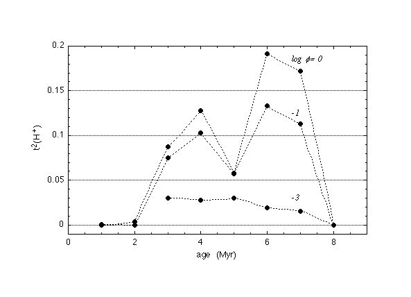
From Table 1,  is larger than  on average by a factor of 3, while when the fluctuations are significant ( ). Figure 1 shows the dependence of  with the age of the burst for the solar metallicity models; the value of logf is indicated. Note how in general temperature fluctuations are fairly large. The values of  are very large for filling factors larger than 0.001, they are in fact above the 5% mark for burst ages of 3 to 7 Myr.

Figure 1. Dependence of  with the age of the burst and with the filling factor of the gas. The model results shown are for solar metallicity.
 

3 DISCUSSION

Peimbert (1995) summarizes the range of values found for t2 from observations, 0.01<=t2<=0.09, and from models, 0.00<=t2<=0.02, of homogeneous nebula (both in density and abundance). Because of this difference between the computed and the observed values of t2, it has been argued that the origin of the fluctuations could be in the density distribution of the ionized gas and/or in chemical inhomogeneities. The former has been explored by KF95, who conclude that an inhomogeneous density distribution would have little effect on the derived value of t2, as long as the densities are kept below the critical density; for densities high enough to produce the collisional de-excitation of [OIII] 5007 but not of [OIII] 4363, Viegas & Clegg (1994) find that high density condensations can produce moderate temperature fluctuations. Preliminary calculations suggest that chemical inhomogeneities are also probably insufficient to resolve the observed discrepancies (Kingdon 1996, private communication). A third process that has been invoqued as a possible origin for temperature fluctuations is the presence of shocks as important sources of line emission (Peimbert 1995); and indeed, an increasing body of observations points to the ubiquitous presence of shocks in PN and in HII regions.

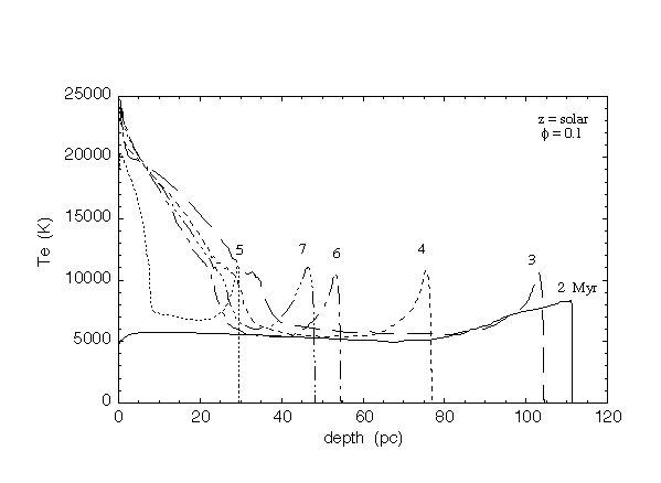
However, the results presented in section 2 show that there is yet an additional cause for temperature fluctuations, which is very important even in the absence of density or chemical inhomogeneities or shock ionized regions. This process must be operating at least in starburst regions, and possibly in some GHIIRs and PN with central WR stars. The explanation of the large t2 values obtained becomes clear when we look at the temperature structure of the nebula. Figure 2 shows the radial dependence of Te as a function of the age of the burst, from 2 Myr to 7 Myr, for the solar metallicity case with filling factor 0.1. Up to 2 Myr the ionization and thermal balance in the nebula is given by the radiation field produced by the OB stars, but when the Wolf-Rayet stars appear, approximately at 3 Myr, the spectral energy distribution changes very significantly, becoming extremely hard. This produces a secondary hot thermal structure in the inner part of the nebula where the oxygen is highly ionized, in the form of O+3 and higher ionization stages. Thus, in effect, the O+2 region decreases in relation to the H+ region which, in turn, becomes hotter on average due to the new hot highly ionized zone.

Figure 2. Temperature structure of the model nebula as a function of depth into the nebula and of the burst age. The model results shown are for solar metallicity and a filling factor of 0.1.
 

Figure 3. Hydrogen and oxygen ionization structures at two epochs, 2 Myr and 3 Myr. The temperature structure is also plotted for reference. The model results shown are for solar metallicity and a filling factor of 0.1. The temperature structure is relatively flat at 2 Myr, when the ionization and thermal balance is produced by OB stars, however, the onset of the WR phase at 3 Myr produces an inner hot region, where the O+2 is ionized into higher stages.
 

Figure 3 illustrates this more clearly. It shows the hydrogen and oxygen ionization (thin lines) and the temperature (thick line) structures at 2 Myr (upper panel) and at 3 Myr (lower panel). At 2 Myr, the structure is that of a typical nebula ionized by OB stars, with an inner large O+2 zone and an outer smaller O+ zone; the outer zone is somewhat hotter because the ionization there is produced by the higher energy photons that see lower absorption cross-section and thus a longer mean free path. The mean temperature does not change much, staying relatively low between 6000 K and 8000 K; thus both the H+ and the O+2 are sampling much the same temperature, and t2 is small.

A dramatic change occurs at 3 Myr. The WR now contribute significantly to change the shape of the SED, particularly above ~40 eV (Fig. 4). The third and fourth ionization potentials of oxygen are 54.9 eV and 77.4 eV, thus all the O+2 in the inner zone is ionized into O+3 and higher stages. This inner zone is now very hot because the high energy photons absorbed here also produce electrons with high residual kinetic energy and the local thermal equilibrium is achieved at high temperatures. The O+2 lines [OIII] 4363, 5007 Å used for the computation of the electron temperature (column four T[OIII] in Table 1) are produced mainly in the hotter regions of the O+2 zone (at 3 Myr these are between 20 pc and 40 pc and between 90 pc and 105 pc); the Balmer emission is produced mainly in the cooler region between 40 pc and 100 pc. However, because the H+ zone samples a wider range in temperature values, the structural value of  is larger than that of . In any case, the temperature structure at 3 Myr is so much more varied than at earlier epochs, and the temperature fluctuations are consequently larger. A similar explanation is put forward by KF95 to explain the increasing trend of t2 with the effective temperature of the ionizing source.

Figure 4. Spectral energy distribution of the ionizing cluster as a function of wavelength and energy for ages 1 Myr to 7 Myr. Note the dramatic changes at 3 Myr, when the SED hardens significantly.
The subsequent evolution of t2 with the age of the burst, given by the evolution of the ionization structure, is governed by the relative behaviour of the SED between 13.6 eV and ~30 eV on one side, and above ~30 eV on the other side. The former spectral range follows a steady decline produced by the aging of the burst, while the SED at higher energies is controlled by the ups and downs of the WR stars.

The effect of lowering the filling factor is to make the ionization zones less sharply defined and decrease the general level of ionization. For lower filling factors the ionized region becomes significantly larger, and when the SED hardens the secondary hot inner zone is much less conspicuous in size, and thus the value of t2 is reduced with respect to that of a higher filling factor region.

The cause of the lack of fluctuations by decreasing the metallicity is different. Basically, for the low metallicity value that we explore here, one tenth of solar, the major effect is produced by the low numbers of WR stars at this metallicity, and thus, because the increased t2 with the burst evolution at solar metallicity is produced by the hardening of the SED contributed by the WR stars, this does not happens at this low values of the metallicity. However, although less WR stars are produced are at low metallicity, the actual numbers predicted by he theory of stellar evolution are quite uncertain. In fact, although the LH95 models do not produce a significant number of WR stars at a tenth of solar metallicity, a prominent spectral feature at 4600 Å is present in some galaxies at lower metallicities, possibly indicating the presence of large numbers of WR stars (González Delgado et al. 1994; Izotov, Thuan & Lipovetsky 1996).

Esteban & Peimbert (1995) have suggested that the outlier location of the WR galaxies in the helium versus metallicity diagram, used by Pagel et al. (1992) for the determination of the primordial helium abundance, could be due to a higher value of t2 in these galaxies than in GHIIRs without WR features; they further indicate that shocks could be the origin of these fluctuations. We have shown here that, even without the need of a key rôle for shocks, the suggestion of Esteban & Peimbert is indeed an excellent one, because as t2 increases so much with the onset of the WR stars in a starburst, it is expected that galaxies where the WR features are so prominent will have indeed a very large value of t2.
 

ACKNOWLEDGMENTS

 I am grateful to Gary Ferland for making CLOUDY easily available, to Claus Leitherer for providing early access to an electronic version of the SED, and to Rosa M. González Delgado for teaching me how to use them both. I have benefited from discussions with and comments from Rosa M. González Delgado, Jim Kingdon, Angeles Díaz, Claus Leitherer, Manuel Peimbert, and Daniel Schaerer. This work is financed by DGICyT grants PB93-0139 and PR95-329. I thank the Director of the Space Telescope Science Institute for the occasion to visit the Institute during the course of this research. The Space Telescope Science Institute is operated by AURA, Inc., under NASA contract NAS5-26555.
 

REFERENCES

Dinerstein, H.L., Lester, D.F., Werner, M.W., 1985, ApJ, 291, 561

Esteban, C., Peimbert, M., 1995, A&A, 300, 78

Esteban, C., et al., 1996, in preparation

Ferland, G.J., 1996, HAZY a brief introduction to CLOUDY, University of Kentucky internal report.

García-Vargas, M.L., 1996, in From Stars to Galaxies: The Impact of Stellar Physics on Galaxy Evolution,   Astronomical Society ofthe Pacific Conference Series, vol. 98, editors C. Leitherer, U. Fritze-von Alvensleben & J. Huchra, (San Francisco), p. 244

González Delgado, R.M., Pérez, E., Tenorio-Tagle, G., et al., 1994, ApJ, 437, 239

Izotov, Y.I., Thuan, T.X., Lipovetsky, V.A., 1996, ApJ, in press

Kingdon, J., Ferland, G.J., 1995, ApJ, 450, 691 (KF95)

Leitherer, C., Heckman, T.M., 1995, ApJS, 96, 9 (LH95)

Leitherer, C., et al., 1996, PASP, in press

Liu, X.W., Danziger, J., 1993, MNRAS, 263, 256

Liu, X.W., Storey, P.J., Barlow, M.J., Clegg, R.E.S., 1994, MNRAS, 272, 369

Liu , X.-W., Barlow, M.J., Danziger, I.J., Storey, P.J., 1995, ApJ, 450, L59

Masegosa, J., Moles, M., del Olmo, A., 1991, A&A, 244, 273

Meurer, G.R., Heckman, T.M., Leitherer, C., Kinney, A., Robert, C., Garnett, D.R., 1995, AJ, 110, 2665

O'Connell, R.W., Gallagher, J.S., Hunter, D.A., 1994, ApJ, 433, 65

Pagel, B.E.J., Simonson, E.A., Terlevich, R.J., Edmunds, M.G., 1992, MNRAS, 255, 325

Peimbert, M., 1967, ApJ, 150, 825

Peimbert, M., 1971, Bol. Obs. Tonantzintla y Tacubaya, 6, 29

Peimbert, M., 1995, in The Analysis of Emission Lines, Proceedings of the Space Telescope Science Institute Symposium number 8, editors R. Williams & M. Livio, (Cambridge CUP), p. 165

Peimbert, M., et al., 1995a, RMexAA, 31, 131

Peimbert, M., et al., 1995b, RMexAA, 31, 147

Rubin, R.H., 1969, ApJ, 155, 841

Terlevich, E., Díaz, A.I., Terlevich, R.J., González Delgado, R.M., Pérez, E., García-Vargas, M.L., 1996, MNRAS, 280, 1219

Watson, A.M., et al., 1996, AJ, 112, 534